This document will explain the different types of common genealogies.
A genealogy defines the structure of the organization and how the different reps are related to each other within that structure.
There can be two genealogies in use. There can be a Sponsorship genealogy and a Placement genealogy. These two can be different if the placement of the rep is different from the sponsorship. We have the ability to allow the sponsoring rep to specify where the new rep will be placed within the downline (this is referred to as a Holding Tank).
A Unilevel genealogy has unlimited reps on each level of the genealogy tree. When a rep sponsors a new rep, that new rep will be placed on the level below the sponsoring rep. This is called level 1.
In a Unilevel genealogy the levels can be very wide.
This is an example of a Unilevel genealogy:

Rep Z has sponsored reps A, B, C, D, and E.
Rep B has sponsored reps F, G, and H.
Rep X would be the next rep sponsored by Rep Z.
A Binary genealogy has only two reps below the current rep on Level 1. These are the Left and Right Legs. As more reps are sponsored, they are placed further down the tree, but always adhering to the 2 reps per level.
Here is an example of a Binary genealogy:

Rep A is the left leg of rep Z.
Rep A has sponsored rep B and C.
The next reps sponsored by Rep A will be Rep X and Y.
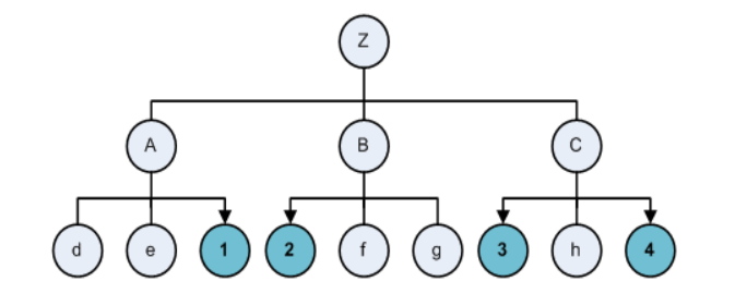
A Matrix genealogy is a Unilevel genealogy with a set number of reps per level. A 2-wide Matrix is basically a Binary, but you can designate the matrix to be a 3-wide, 4-wide, or more.
Here is an example of a 3-wide Matrix.

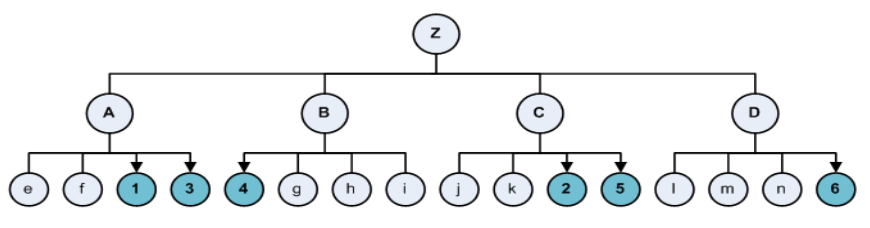
Here is an example of a 4-wide Matrix.
